Soalan persamaan linear serentak soalan matematik persamaan linear serentak contoh soalan persamaan linear serentak soalan persamaan linear serentak soalan persamaan linear tingkatan 5 soalan persamaan linear spm soalan persamaan linear serentak tingkatan 1 contoh soalan persamaan linear soalan matematik persamaan linear contoh soalan persamaan linear serentak contoh soalan persamaan linear spm soalan persamaan kuadratik soalan persamaan linear soalan persamaan kimia soalan persamaan perakaunan soalan persamaan garis lurus soalan persamaan linear serentak soalan persamaan linear serentak tingkatan 1 soalan persamaan kuadratik tingkatan 4 soalan persamaan linear tingkatan 5
Soalan Persamaan Linear Serentak Bersama Jawapan. The total students of form 1 consisting of x boys and y girls is 140. Sila cuba semua soalan dalam bahagian ini dan semak jawapannya.
                          
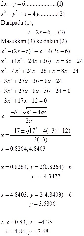
Contoh soalan dan jawapan persamaan linear serentak via . 
      Persamaan linear lessons tes teach hitung nilai p dan q yang memuaskan persamaan linear serentak berikut. Beri jawapan anda betul kepada tiga tempat perpuluhan. Contoh soalan dan jawapan persamaan linear serentak via . Soalan latih tubi matematik tingkatan 4.
Soalan persamaan linear serentak soalan persamaan linear serentak tingkatan 1 soalan matematik persamaan linear serentak contoh soalan persamaan linear serentak soalan persamaan linear tingkatan 1 soalan persamaan linear serentak soalan persamaan linear spm soalan persamaan linear tingkatan 1 pdf soalan persamaan linear serentak tingkatan 1 soalan matematik persamaan linear contoh soalan persamaan linear serentak soalan persamaan kuadratik soalan persamaan linear soalan persamaan kimia soalan persamaan garis lurus soalan persamaan linear serentak soalan persamaan linear serentak tingkatan 1 soalan persamaan kuadratik tingkatan 4
